 |
 |
 |
 | Simulating propagation of decoupled elastic waves using low-rank approximate mixed-domain integral operators for anisotropic media |  |
![[pdf]](icons/pdf.png) |
Next: Bibliography
Up: Cheng et al.: Propagate
Previous: conclusions
We would like to thank Sergey Fomel for sharing his experience in
designing low-rank approximate algorithms for wave propagation.
The first author appreciates Tengfei Wang and Junzhe Sun for useful discussion in this study.
We acknowledge supports from the National
Natural Science Foundation of China (No.41474099) and Shanghai Natural Science Foundation
(No.14ZR1442900).
This publication is also based upon work supported by
the King Abdullah University of Science and Technology (KAUST) Office of Sponsored Research (OSR) under Award No. 2230.
We thank SEG, BP and HESS Corporation for making the 2D VTI and TTI models available.
Appendix
A
Components of the Christoffel matrix
For a general anisotropic medium, the components of the density normalized Christoffel matrix
are given as follows,
![\begin{displaymath}\begin{split}
\Gamma_{11} &= [C_{11}k^2_x + C_{66}k^2_y + C_...
...36}+C_{45})k_xk_z +(C_{25}+C_{46})k_xk_y]/{\rho}.
\end{split}\end{displaymath}](img138.png) |
(25) |
Appendix
B
Extended formulations of the pseudo-spectral operators
According to equations 6 and 8, we express the pseudo-spectral operator that can be used to extrapolate
the coupled elastic wavefields in its extended formation:
 |
(26) |
in which
,
and
represent the three
components of the elastic wavefields in wavenumber-domain at the time of
.
For a VTI or orthorhombic medium, we express the stiffness tensor as a Voigt matrix:
 |
(27) |
in which there are only five independent coefficient with
,
,
and
, for a VTI medium.
Therefore, the propagation matrix has the following extended formulation,
![\begin{displaymath}\begin{array}{lcl}
w_{xx}(\mathbf{k})=2-\Delta{t}^2[C_{11}k...
...\mathbf{k})=-\Delta{t}^2[C_{23}+C_{44}]{k_y}{k_z}.
\end{array}\end{displaymath}](img149.png) |
(28) |
If the principal axes of the medium are not aligned with the Cartesian axes, e.g., for the tilted TI and orthorhombic media,
we should apply the Bond transformation (Carcione, 2007; Winterstein, 1990) to get the stiffness matrix
under the Cartesian system.
This will introduce more mixed partial derivative terms in the wave equation, which demands lots of computational effort
if a finite-difference algorithm is used to extrapolate the wavefields.
Fortunately, for the pseudo-spectral solution, it only introduces negligible computation to prepare the propagation matrix
and no extra computation for the wavefield extrapolation.
Similarly, we can write the propagation matrix
(in equation 20) for the decoupled elastic waves
in its extended formulation:
 |
(29) |
Appendix
C
K-space adjustment to the pseudo-spectral solution
According to the eigen-decomposition of the Christoffel matrix (see Equations 9 to 12), we can obtain the scalar
wavefields for homogeneous anisotropic media using the theory of mode separation (Dellinger and Etgen, 1990),
 |
(30) |
in which
with
represents the scalar qP-, qS
- and
qS
-wave fields.
So these wavefields satisfy the same scalar wave equation
 |
(31) |
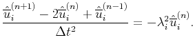
The standard leapfrog scheme for this equation can be expressed as
 |
(32) |
It is well known that this solution is limited to small time-steps for stable wave
propagation.
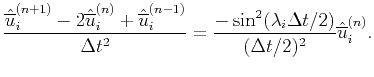
Fortunately, there is an exact time-steping solution
for the second-order time derivatives allowing for any size of time-steps
for homogeneous medium (Cox et al., 2007; Etgen and Brandsberg-Dahl, 2009), namely:
 |
(33) |
Comparing equations C-3 and C-4 shows that, it is possible
to extend the length of time-step without reducing the
accuracy by replacing
with
.
This opens up a possibility by replacing
with
as
a
-space adjustment to the spatial derivatives, which may convert the time-stepping
pseudo-spectral solution into an exact one for homogeneous media, and stable for larger
time-steps (for a given level of accuracy) in heterogeneous media
(Bojarski, 1982).
Nowadays, the
-space scheme is widely used to improve the approximation of the temporal
derivative in acoustic and ultrasound (Fang et al., 2014; Cox et al., 2007; Tabei et al., 2002).
As far as we know, Liu (1995) was the first to apply
-space ideas to elastic wave problems. He
derived a
-space form of the dyadic Green's function for the
second-order wave equation and used it to calculate the scattered field
iteratively in a Born series. Firouzi et al. (2012) proposed a
-space scheme on the base of the first-order elastic wave equation for isotropic media.
Accordingly, we apply the
-space adjustment to improve the performance of our two-step time-marching
pseudo-spectral solution of the anisotropic elastic wave equation.
To propagate the elastic waves on the base of equations 6 and
8,
we need modify the eigenvalues of Christoffel matrix as in Equation 14.
 |
 |
 |
 | Simulating propagation of decoupled elastic waves using low-rank approximate mixed-domain integral operators for anisotropic media |  |
![[pdf]](icons/pdf.png) |
Next: Bibliography
Up: Cheng et al.: Propagate
Previous: conclusions
2016-11-21